SAE AS85049/16A_A1 PDF
$0.00
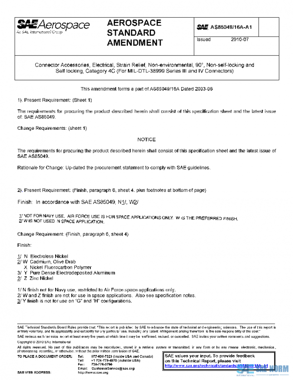
Connector, accessories, electrical, strain relief, 90°, self-locking, category 4C (for MIL-C-38999 Series III and IV connectors)
Description
Connector, accessories, electrical, strain relief, 90°, self-locking, category 4C (for MIL-C-38999 Series III and IV connectors) AS85049/16A_A1 – available at no cost. Find the right standards and certifications for your needs with SAE.
History
| AS85049/16D | 2025-02-08 | Latest | Reaffirmed |
| AS85049/16C | 2016-09-12 | Historical | Revised |
| AS85049/16B | 2011-02-08 | Historical | Revised |
| AS85049/16A_A1 | 2010-07-22 | Historical | Amended |
| AS85049/16A | 2009-06-29 | Historical | Reaffirmed |
| AS85049/16 | 2000-04-01 | Historical | Issued |
| ISSUING COMMITTEE | AE-8C1 Connectors Committee |
|---|---|
| DATE | 2010-07-22 |
| DOI | |
| PAGE | 2 |
| PUBLISHER | SAE International |
| REVISED | ISSUED |
Please select a variation to view its pdf.






Reviews
There are no reviews yet.