SAE AS85049/78A_A1 PDF
$0.00
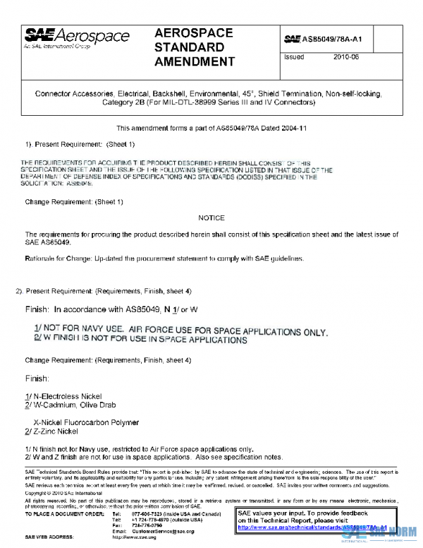
Connector Accessories, Electrical, Backshell, Environmental, 45°, Shield Termination, Non-self-Locking Category 2B (MIL-DTL-38999 Series III and IV Connectors)
Description
Amendment 1 of AS85049/78A.
History
| AS85049/78C | 2021-07-28 | Latest | Reaffirmed |
| AS85049/78B | 2011-03-08 | Historical | Revised |
| AS85049/78A_A1 | 2010-06-16 | Historical | Amended |
| AS85049/78A | 2004-11-02 | Historical | Revised |
| AS85049/78 | 2000-06-01 | Historical | Issued |
| ISSUING COMMITTEE | AE-8C1 Connectors Committee |
|---|---|
| DATE | 2010-06-16 |
| DOI | |
| PAGE | 2 |
| PUBLISHER | SAE International |
| REVISED | ISSUED |
Please select a variation to view its pdf.






Reviews
There are no reviews yet.